2025年,随着人民群众健康意识大幅度觉醒以及体重管理年等国家政策出台,一场跨越时代的“油脂革命”,正在中国市场上如星火燎原般迅猛蔓延,甘油二酯油凭借其卓越的健康属性与科技内涵,正强势引领食用油行业向营养化、功能化、高端化全面转型,以前所未有的力度重塑食用油产业的生态格局。
必然趋势:一场健康需求驱动的市场变革
2025年的中国,食用油消费观念已发生根本转变。2021年我国居民每人每日的食用油消费量已达到82.5克,远高于《中国居民膳食指南(2022)》中30克的推荐上限。中国饮食结构中“少吃油不香,多吃不健康”的习惯难以缓解,导致想要一刀切断食用油中油脂过量摄入问题成为重大难题。

在健康与美味难以两得之际,科学家在食用油中发现了一种 天然的微量元素——甘油二酯,它不管在外观颜色、风味及物理形状上均与传统食用油保持一致,因此更容易被广大消费者接受。但与传统食用油(甘油三酯)相比,甘油二酯在人体代谢途径不同,不易在体内形成脂肪堆积,并且还能燃烧多余的脂肪,被科学家们称为“脂肪炸弹”,而这一瓶小小的油,也正成为改善国民传统甘油三酯摄入过量、代谢性疾病高发等问题的有效解决方案。
与此同时,中国中产阶级对健康食品的支付意愿显著提升。数据显示,2024年我国甘油二酯食用油行业市场规模达179.77亿元。《2026甘油二酯油行业研报》指出,随着健康减脂需求的爆发,国内甘油二酯油市场规模预计 2027年突破50亿元,年复合增长率超35%,远高于传统食用油市场增速。进一步标志着我国食用油产业正从保障“吃得饱”向追求“吃得好、吃得健康”的历史性跨越。
深厚实力:二十年磨一剑的技术沉淀
“为国家做好油,让国民用好油”是长寿花食品作为国民粮油品牌以来一直坚定的初心和使命。在这一食用油的转型浪潮中,长寿花食品凭借对市场趋势的敏锐洞察,以科研破局——用时六年布局甘油二酯油研发,逐步攻克 “高纯度、规模化”两大核心难题,实现了从0到1的原始创新突破。

甘油二酯油的技术门槛极高。作为食用油中天然的微量元素,需要依靠强大的科研技术、复杂的制作工艺、丰富的行业经验才能有效提取。
作为中国甘油二酯油领导品牌及国家甘油二酯油产业研发基地,长寿花汇聚了246名专业研发人员,企业的CNAS国家认可实验室及国家认定企业技术中心,形成了三位一体的研发核心。更凭借28年来在食用油领域积累的深厚技术经验、工艺优势、品质控制体系,为攻克行业难题奠定了坚实的科研基础。以独创的全绿色健康工艺技术将甘油二酯含量提高至96%以上,重新定义了中国甘油二酯油的高标准高品质,并构建起覆盖玉米、花生、菜籽、葡萄籽、亚麻籽等多品类油种的产品矩阵,可满足不同消费者的饮食习惯和对多样风味的追求。

2022年,长寿花食品启动国内首条年产20万吨的二酯油产业化生产线,率先实现了甘油二酯油在国内的产业化、规模化的发展,这一举措,不仅填补了国内市场在二酯油领域的空白,更成为二酯油大规模推向大众市场的关键转折点,自此,二酯油的时代征程便按下了加速键,成为国民都吃的起的健康好油。2025年,长寿花甘油二酯油凭借其严苛的品控及高营养价值,先后被认定为全国甘油二酯油销量第一品牌与中国甘油二酯油领导品牌。

作为全国规模领先的甘油二酯油生产先驱与行业标杆,长寿花食品构建了覆盖全链路的产业战略体系,在山东、内蒙古、东北、杭州、广州等多地落子布局,形成辐射全国的生产基地网络,为持续稳定供应高品质甘油二酯油奠定了坚实基础同时,长寿花着力打造出“从田间地头到百姓餐桌”的全流程可追溯系统,并通过常态化“透明工厂”等开放透明举措,真正实现了生产环节与消费端的零距离对接,引领了食品透明化与安全管控的新标准,让产品质量真正意义上全程可视、可信、可感。

科学证实:推动粮油行业跨越式升级
功能油脂参与到人体健康与慢病防治中,不仅需要过硬的产品品质,更需要有力的临床功效证据予以背书。
长寿花联合江南大学采用市面上60%长寿花甘油二酯油开展了一系列动物实验,研究结果表明,长寿花二酯油在降低血脂和减少体重均有显著效果, 并且长期食用还可以改善脂质代谢,对预防和治疗因高脂饮食引起血脂异常等问题,具有很大的潜在意义。

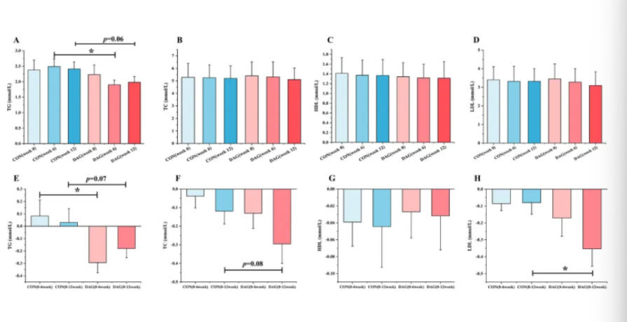
2025年2月,江南大学附属医学研究院正式对外发布了关于长寿花品牌新型甘油二酯食用油在降脂与体重管理领域的临床研究权威报告。研究数据明确显示,长寿花所研发的甘油二酯食用油在调控血脂及甘油三酯水平降低方面展现出卓越成效。

脂质组学分析:补充DAG对肝脏脂质代谢的影响
本次临床实验在江南大学附属医院开展,结果显示:以甘油二酯食用油替代传统家庭烹调用油,干预12周后,受试者的低密度脂蛋白胆固醇(LDL-C)水平相比于对照组(甘油三酯组)出现显著降低,同时甘油三酯(TG)水平也呈现下降趋势。

临床实验:受试者血脂指标变化
分析发现,在对比实验中,接受该新型油脂干预的实验组受试者,其身体质量指数(BMI)相较于对照组呈现出统计学上的显著下降趋势(P值小于0.05),同时,该油脂在人体应用 中的安全性得到了积极的验证。
这些验证进一步证实了长寿花甘油二酯油能够通过真数据、真实验,为消费者提供具备真营养、真价值的二酯油产品。
场景延伸:从产品到矩阵的健康布局
国家卫健委在《关于守护全民健康加快推动甘油二酯食用油产业高质量发展的建议》答复中指出:下一步工作目标和计划,将会聚焦人民健康营养需求和行业发展需要,推动甘油二酯健康效应研究和产业发展关键技术突破,适时推进甘油二酯食用油标准体系建设,加大油脂营养健康科普和指导,引导产业健康发展,助力健康中国战略实施。

在这一进程中,长寿花食品作为中国甘油二酯油的开创者与产业化引领者,长寿花食品积极将甘油二酯食用油从实验室推向了大众餐桌,还通过品牌宣传与营养科普,积极引导消费者建立科学用油观念,为提升全民健康水平提供了优质产品选择,将甘油二酯的健康价值转化为日常饮食的高品质解决方案,进一步为消费者提供了兼具营养与安全的厨房升级选择。标志着我国油脂产业正从“量”的供给向“质”的健康赋能转变,也为行业标准建设与市场教育提供了重要实践范本。
而随着甘油二酯油从家庭烹饪场景起步,甘油二酯油市场也正在逐步渗透至更广阔的食品工业价值链。作为食品产业的基础性原料与关键膳食成分,其健康属性与功能优势为应用拓展打开了全新空间。

展望未来,随着健康消费升级与产业创新加速,甘油二酯油将不仅限于替代传统食用油,更可深度融合至多元领域:包括食品饮料(如即饮黑咖、配方代餐)、健康烘焙(如低脂糕点、饼干)、医药与营养科学(如特医食品)等。这一演进将驱动市场规模实现跨越式增长——从百亿级起步,逐步向千亿级迈进,并蕴藏着迈向万亿规模的长期潜力。
品牌优势:全区域传播打造认知闭环
站在产业升级与消费健康化交汇的起点,长寿花甘油二酯油已构筑起立体化品牌护城河,以全覆盖、高渗透的传播生态,引领食用油行业新趋势。

为提高国民对甘油二酯油的认知度得到进一步提高,2025年,长寿花中国甘油二酯油科普馆正式对外开放,开创了国内甘油二酯油领域专项科普的先河,标志着我国食用油健康科普教育迈入全新高度。同时长寿花在全国区域开展“轻酯同行”等多种主题活动,致力于将科学用油理念与长寿花甘油二酯油等健康产品一同送至千家万户,扎实推动国民粮油消费向4.0时代升级
长寿花甘油二酯油,通过构筑起立体化、共生式的价值网络,以强大的品牌势能与无可比拟的传播广度,持续赋能健康粮油赛道。不仅深化了市场渗透与用户链接,更以战略支点撬动行业全域增长,引领健康食油消费新浪潮,最终铸就了品牌与渠道共赢共生的卓越生态,定义了行业发展的崭新范式。
甘油二酯油的崛起,远不止是一款新产品的问世,而是一场深刻影响国民健康、重塑饮食文明的范式转移。在“健康中国”行动蓝图之下,长寿花以其前瞻性的产业布局与引领性的产品理念,将日常烹调的细微之处,升维至关乎民族健康根基的战略高度,让健康从源头渗透至每一餐,让长寿花甘油二酯油润物无声地守护千家万户。
随着健康意识持续深化与产业升级浪潮推动,中国食用油产业从“安全保供”迈向“主动健康”的新纪元。展望未来,作为中国甘油二酯油的开创者与产业化引领者,长寿花将继续以油为媒,坚持“为国家做好油,让国民用好油”的初心,承担起“健康中国”建设的使命,进一步推动全民健康从理念转化为实践,为中国家庭的健康未来注入持久而温暖的力量。
编辑 | 王宇
2026国家新质生产力与智能产业发展会议在广州举办
3月27日至28日,由中国自动化学会主办的2026国家新质生产力与智能产业发展会议暨2025年度中国自动化学会科学技术奖励颁奖仪式在广东省广州市举办。本次大会以“承六十五载初心,拓新质发展格局”为主题,紧扣“十五五”时期科技自立自强、产业转型升级的核心要求,打造兼具思想高度、技术深度与产业温度的交流平台。来自全国科研院所、高校及企业的500余位代表现场参会。 &nbs... [阅读]
2026年首期“科创重庆”双月论坛举办
3月30日,2026年首期“科创重庆”双月论坛暨重庆具身智能机器人发展大会举行。本次大会以“聚力具身智能·赋能未来制造”为主题,由重庆市科协、中国机械工业联合会机器人分会、中国科学院重庆绿色智能技术研究院指导,重庆市机器人学会,重庆市机器人产业技术创新战略联盟主办,重庆清平机械有限责任公司,重庆电子科技职业大学承办。来自全市学术界、产业界的专家代表共聚一堂,深入探讨具身智能机器人关... [阅读]
第三届国际人工智能奥林匹克中国区重庆站学术活动举行
3月21日至22日,第三届国际人工智能奥林匹克中国区重庆站学术活动在重庆市沙坪坝区举行。活动包含启动仪式、科普活动、NOAI水平测试等环节,吸引全市120名选手、100名教师及公众参与。重庆市科协相关负责人出席启动仪式并致辞。 重庆市科协相关负责人在致辞中表示,人工智能教育是一项系统工程,需要政府、学校、企业、社会的协同发力。希望沙坪坝区以本次活动为契机,进一步发挥示范引领作... [阅读]
江苏省苏州市科协十四届四次全委(扩大)会议召开
3月5日下午,江苏省苏州市科协十四届四次全委(扩大)会议召开。会议深入贯彻落实中国科协2026年工作会议、江苏省科协第十一次代表大会和市委十三届十一次全会部署,总结2025年工作,部署2026年重点任务。 2025年,全市科协系统按照市委部署,紧扣“四服务”职责,强化政治引领,团结凝聚科技人才听党话、跟党走;创新机制方法,助力科技人才当主角、挑大梁;突... [阅读]